Рефреш
Мы повторяем пройденный материал, ниже выложены Рефреш задачки!
Что порешать?
Задача 1
В каждом пункте вам необходимо найти, какое оптимальное количество x и y нужно приобрести, чтобы получить максимальную полезность (U) при фиксированном количестве денег (I)
а)
Это функция Кобба-Дугласа, оптимумы:
б)
Монотонное преобразование: можно взять корень 2003 степени и решить подобно пункту (а):
в)
Это функция Кобба-Дугласа, оптимумы:
г)
Линейная функция, берем по максимуму то, что дешевле:
д) *
Тут удобно решать графически: кривые безразличия и бюджетное ограничение — это окружности. Оптимум будет в точке касания двух окружностей с центрами (0;0) и (40;20). Тогда точка касания лежит на линии, соединяющей два центра: . Подставив в бюджетное ограничение , получим y = 2√{10}$, $x = 4√{10}.
Блиц-блиц скорость без границ
В каждом из следующих случаев необходимо найти равновесие в монополии.
а)
Поскольку MC не убывают, а MR не возрастает, то оптимум будет в равенстве:
б)
Попробуем воспользоваться предельными величинами:
MR нормальные, они не возрастают по Q, а вот условие для MC не выполняется — они убывают. Следовательно, не гарантируется, что оптимум монополиста будет в равенстве , и предельными величинами здесь нельзя пользоваться.
Запишем прибыль фирмы и в лоб промаксимизируем ее:
Уравнение сверху не решается...
в)
Попробуем воспользоваться снова предельными величинами:
И здесь все хорошо: MC не убывают, MR не возрастают, поэтому оптимум будет в их равенстве:
3. Совершенноконкурентный рынок межгалактических звездолётов
Спрос задается функцией . На этом рынке работают две фирмы: СлаТе (1) и СунгСам Галаксе (2). Издержки первой фирмы , а издержки второй , где — выпуск первой фирмы, а — выпуск второй фирмы (да, в функции издержек второй фирмы есть еще выпуск первой, это не очепятка).
а) Придумайте одну причину, почему могла образоваться такая зависимость издержек второй фирмы от выпуска первой.
б) Допустим, рынок действительно совершенноконкурентный. Найдите равновесие на нем . Какие прибыли получат фирмы в таком равновесии?
в) Пусть теперь форма взаимодействия изменилась: фирмы конкурируют по Курно, то есть одновременно выбирают свой выпуск, считая выпуск другого фиксированным. Какое равновесие будет в этом случае? Как изменится суммарная прибыль фирм по сравнению с пунктом 2?
г) Взаимодействие снова поменялось: теперь вторая фирма выбирает выпуск первой по очереди, а затем первая, видя это решение, подстраивает свой выпуск под него (то есть конкурируют по Штакельбергу по очереди ). Какое равновесие установится в этом случае? Сравните индивидуальные прибыли фирм с пунктом 3.
д) Теперь фирмы объединились в одну большую. Найдите монопольное равновесие. Как изменилась суммарная прибыль фирм по сравнению с пунктами 2–4?
а) Это отрицательный внешний эффект на другую фирму (например, повышение зарплаты в регионе из-за дополнительного спроса другой фирмы на рынке труда).
б) Предложение обеих фирм:
Равновесие:
Найдем прибыль в равновесии:
в) Максимизируем прибыль, учитывая, что фирмы влияют друг на друга:
Ищем пересечение кривых реакций:
Посчитаем прибыли в этом равновесии:
В обоих случаях прибыль увеличилась.
г) Подставляем кривую реакции первой фирмы в прибыль второй:
Аналогично предыдущим пунктам считаем прибыль:
д)
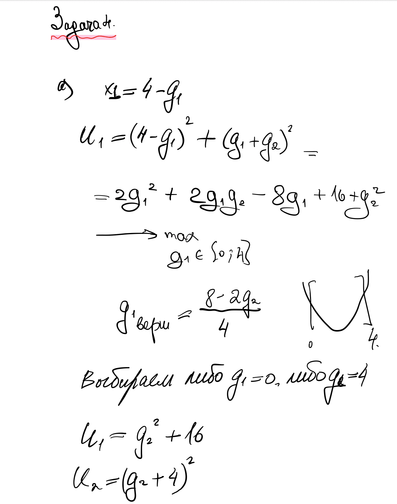
4. Задача о кокосах на необитаемом острове
На необитаемом острове живут Робинзон и Пятница. Всё, что есть в их распоряжении — это кокосы, которые каждый из них собрал на соседней пальме. У каждого есть в запасе по 4 кокоса. Эти кокосы можно съесть, а можно сложить возле дома в виде снеговика (напоминание Робинзона о холодной Англии, а Пятнице — о холодных сердцах его бывших соплеменников). Пусть — количество потребленных кокосов, а — количество сложенных в снеговика кокосов. Тогда полезность i-ого агента равна:
а) Найдите кривые реакции выбораодного туземца на выбор другого.
б) Найдите равновесие Нэша, если туземцы выбирают свои одновременно и независимо.
в) Является ли равновесие Парето-оптимальным, то есть можно ли выбрать другие количества , чтобы полезность обоих агентов не уменьшилась?
г) Найдите оптимум, если туземцы максимизируют суммарную полезность. Сравните суммарный в этом случае и в равновесии. Объясните результат.
а)

б)

в)
