Неравенство и коэффициент Джини
Коэффициент Джини — один из основных показателей неравенства распределения доходов. Он основан на кривой Лоренца и показывает, насколько фактическое распределение доходов отклоняется от абсолютно равномерного. Значение коэффициента Джини лежит в диапазоне от 0 (полное равенство) до 1 (максимальное неравенство). Этот показатель широко используется для сравнения уровня неравенства между странами и внутри одной экономики.
Что почитать?
1. Учебник по олимпиадной экономике (с. 202–212).
2. Лекция.
3. Лекция.
4. Задачник по экономике (с. 118-125).
Что порешать?
Задача 1.
Кривая Лоренца в стране Горох задается функцией
Вице-король Нут Ганрей решает посмотреть, что будет с неравенством в стране, если выселить часть населения в одну далекую-далекую галактику.
a) Для начала определите изначальный уровень неравенства: посчитайте индекс Джини и индекс Робин Гуда для всего населения с кривой Лоренца
b) Нут Ганрей решил выселить долю самых богатых людей, так что в стране остается только доля α беднейших жителей. Найдите новую кривую Лоренца для оставшихся жителей. Как изменятся индексы Джини и Робин Гуда?
c) Теперь он решил выгнать долю самых бедных, то есть оставить только долю богатейшего населения. Найдите новую кривую Лоренца для оставшихся жителей. Как изменятся индексы Джини и Робин Гуда?
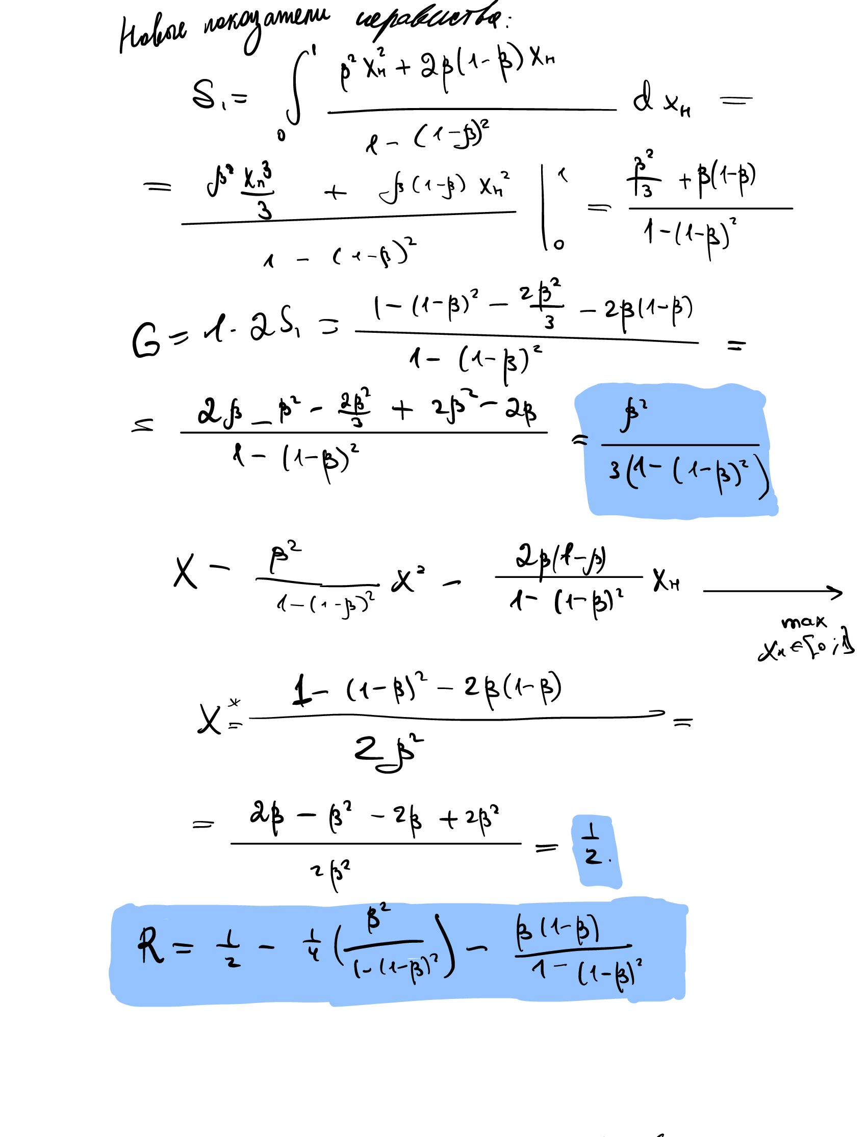
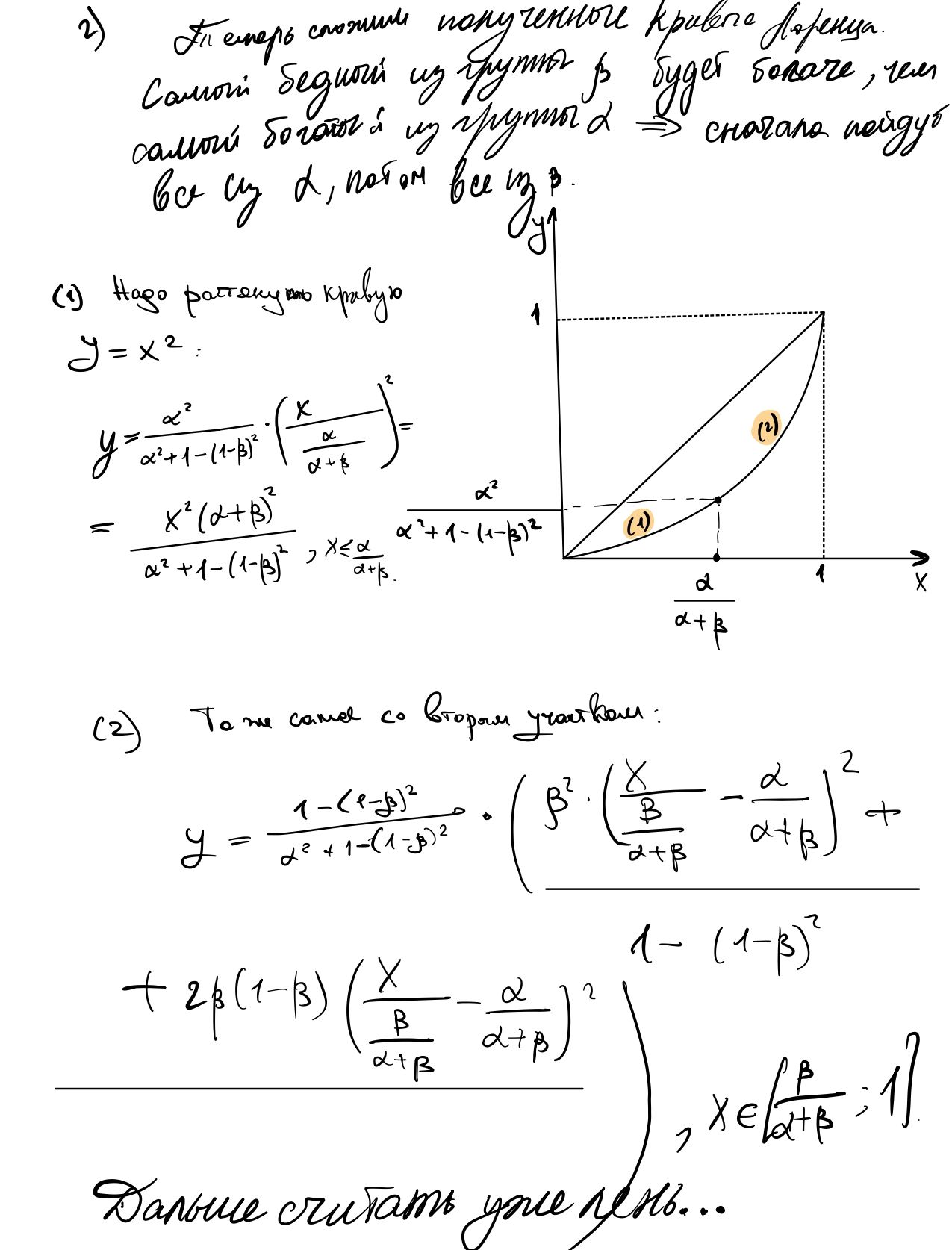
d) Подданные решили оставить и α беднейших, и β богатейших (при этом). Найдите новую кривую Лоренца для оставшихся жителей. Как изменятся индексы Джини и Робин Гуда?




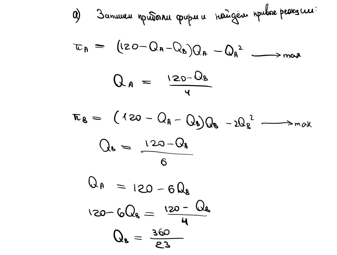
2. На олигополистическом рынке по Курно конкурируют две фирмы: A и B.
Спрос:
Издержки:
a) Найдите равновесие Курно. Найдите индекс Джини в стране, если считается, что совокупный доход состоит только из прибыли фирм A и B, и каждая из них занимает одинаковую долю населения (1/2).
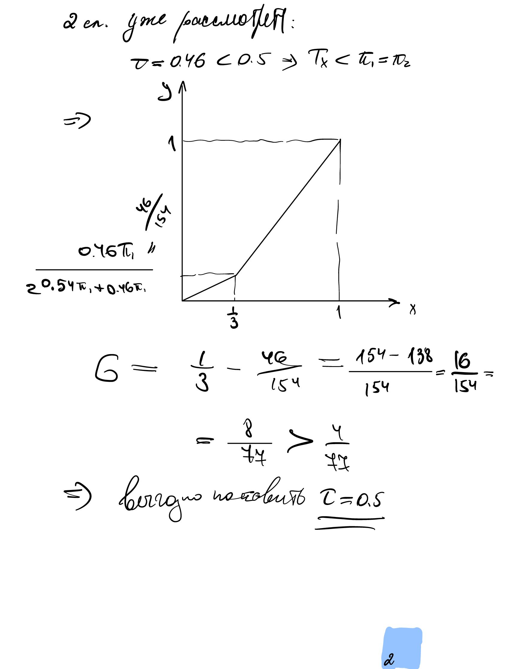
b) Государство вводит процентный налог на прибыль первой фирмы и забирает его себе. При какой ставке налога уровень неравенства будет минимальным?
c) Теперь доход государства тоже учитывается. Кривая Лоренца строится так, что фирмы A, B и государство занимают по 1/3 населения. При какой ставке налога уровень неравенства будет минимальным?



