КПВ: торговля
Торговля на основе КПВ показывает, как страны выбирают специализацию и структуру производства и потребления при заданных мировых ценах. Ключевую роль играют касательные торговые возможности (КТВ), которые отражают бюджетные ограничения страны при внешней торговле. Введение налогов, квот и других торговых ограничений меняет наклон и положение КТВ и, следовательно, оптимальный выбор страны. Эти задачи объединяют геометрию КПВ, цены, налоги и поведение государства.
Что почитать?
1) Учебник по олимпиадной экономике (с. 174-180).
2) Повторите предыдущие недели по КПВ
3) Задачник по экономике (с. 53-56).
Что порешать?
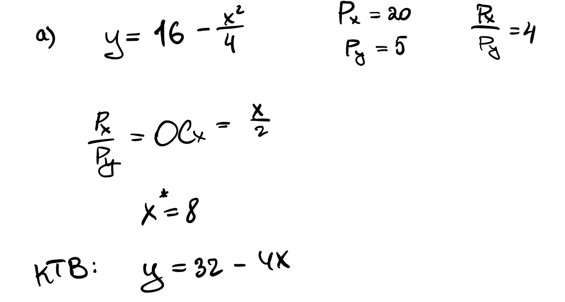
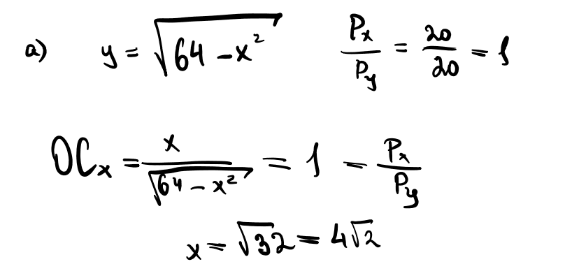
Задача 1.
КПВ страны Тамло (ну а какой ещё?) задается функцией
где x — количество холодца, а y — количество узвара.
Холодец продаётся по цене , а узвар — по цене
a) Найдите КТВ страны Тамло. Изобразите на графике вместе с КПВ.
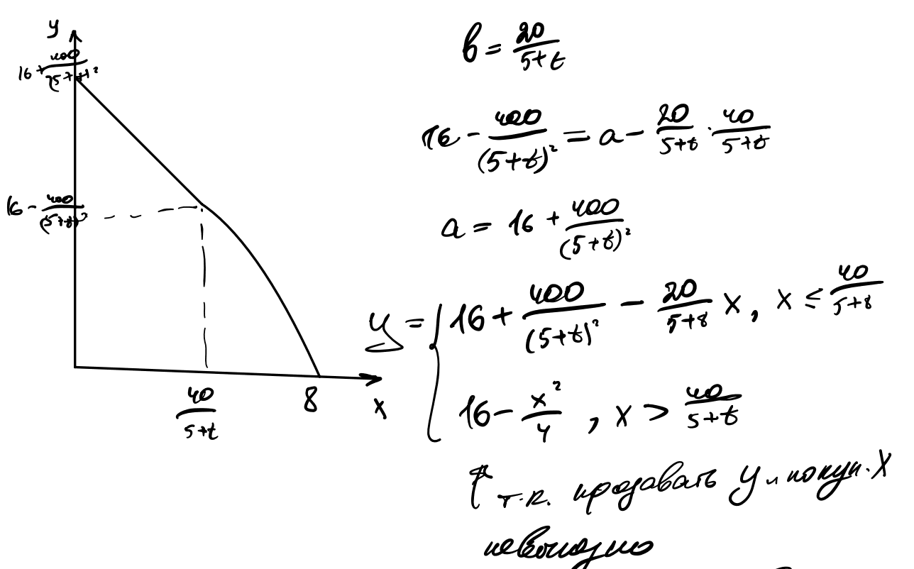
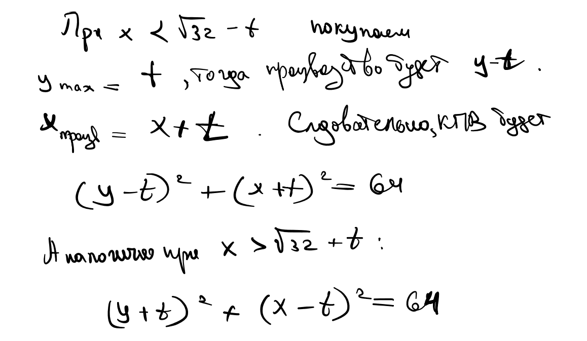
b) Государство вводит потоварный налог t на каждый купленный товар. Найдите КТВ в зависимости от t.
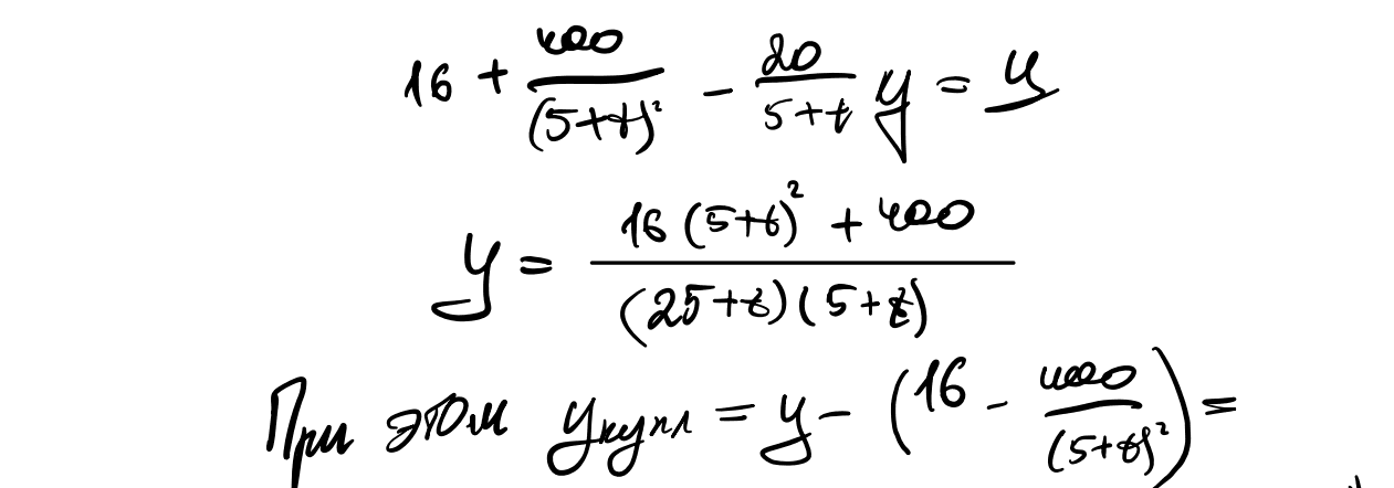
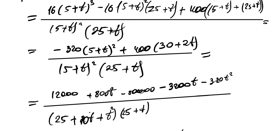
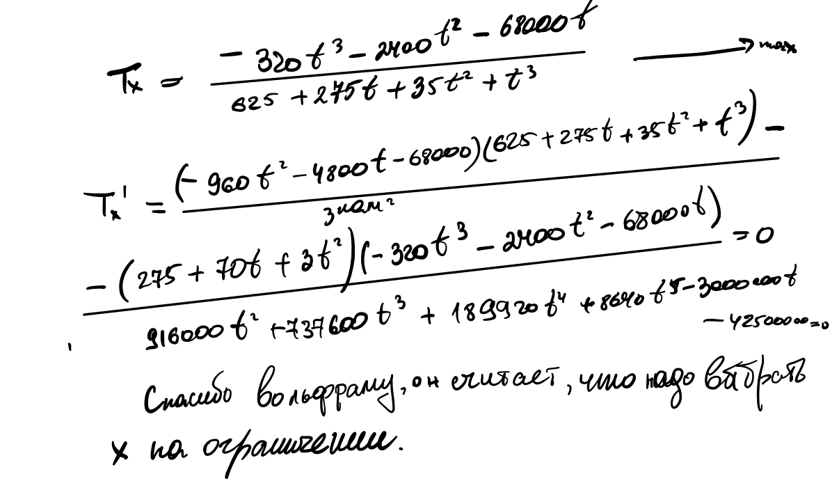
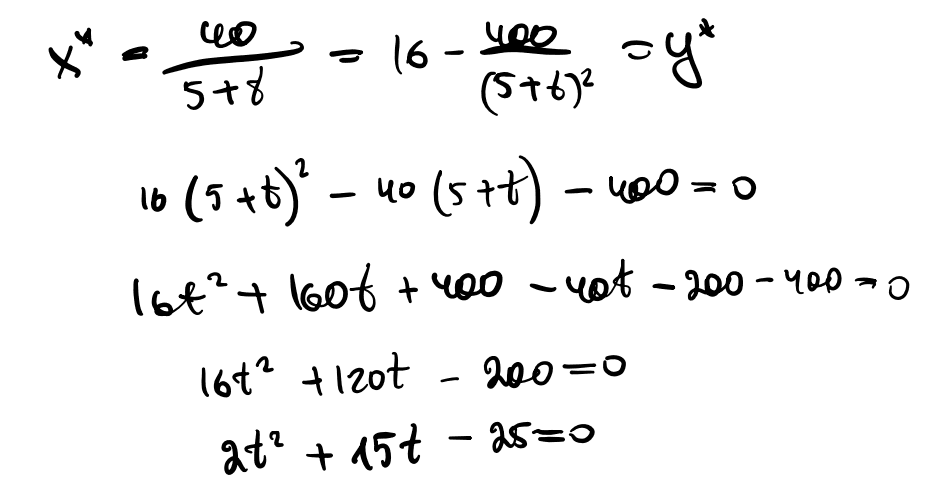
c) Известно, что в стране Тамло узвар и холодец потребляются в пропорции 1 : 1. Государство максимизирует налоговые сборы. Какую ставку потоварного налога оно установит?











2. На СейШЭЛьских островах КПВ местных жителей задается функцией
где x — количество собранных кокосов, а y — количество собранных бананов.
Бананы и кокосы продаются на мировом рынке по одинаковой цене
a) Нарисуйте КТВ и выведите ее уравнение.
b) Государство вводит квоту на импорт обоих товаров в размере t. Постройте КТВ в зависимости от t и выведите её уравнение.



