Рефреш
Мы повторяем пройденный материал, ниже выложены Рефреш задачки!
Что порешать?
1. Выгода от сотрудничества
В странах Линея и Квадратия могут производиться товары X и Y. КПВ страны Линея имеет вид . КПВ страны Квадратия имеет вид . В обеих странах товары потребляют только в комплектах. Один комплект состоит из одной единицы товара X и пяти единиц товара Y.
а) Допустим, страны никак не взаимодействуют друг с другом. Найдите максимально возможное суммарное потребление комплектов в двух странах.
б) Теперь допустим, что страны могут сотрудничать, то есть договориться о совместной стратегии производства. Найдите максимальное возможное суммарное потребление комплектов в двух странах. На сколько комплектов оно больше, чем в пункте а)? Подсказка: пункт б) можно решить как с помощью нахождения суммарной КПВ, так и без него.
а)Обратим внимание, что наша линия комплектов будет
КПВ страны 1:
КПВ страны 2:
Итого их суммарное потребление:
б) Построим суммарное КПВ двух стран, однако заметим, что нелинейная КПВ будет разбиваться на два участка, когда АИ меньше 2 и второй участок. И на самом деле, нам будет достаточно найти лишь график второго участка, потому что линия комплектов будет пересекать на втором участке, в нашем случае линейном:
График первого:
График второго:
Итого: суммарное потребление будет 77.
2. Ball market
Спрос на рынке мячиков для пинг-понга описывается уравнением , а предложение — уравнением , где — цена мячика для пинг-понга, — величина спроса и предложения соответственно. Определите, при какой цене на мячики для пинг-понга на рынке установится равновесие.
При цене на рынке установится равновесие.
3. Рынок прогнозов погоды
На рынке прогнозов погоды существует 2 фирмы: Ясно и Облачно. Спрос на прогнозы погоды равен . Предложение фирмы Ясно равно , а фирмы Облачно — .
а) Найдите равновесие.
б) Фирма Облачно пришла к министру прогнозов погоды и убедила его установить налог в размере 20 д.е. на фирму Ясно, чтобы защитить фирму Облачно от банкротства. Найдите новое равновесие.
в) Затем фирма Ясно пришла в министерство жаловаться на свою маленькую прибыль и убедила государство установить налог в размере 10 на фирму Облачно. Найдите новое равновесие.
г) Потом фирмы узнали о заговорах друг друга и пришли к министру прогнозов погоды выяснять отношения. Устав от разборок фирм, министр снял с них все налоги, но в качестве наказания установил каждой квоту в размере 5 прогнозов погоды. Найдите новое равновесие.
а)
б) Новое предложение фирмы Ясно: . Предположим, что новое равновесие будет на участке, где предложение предъявляют обе фирмы (т.е. ). Тогда:
То есть все ок.
в) Теперь предложение фирмы Облачно: . Предположим, что новое равновесие будет на участке, где предложение предъявляют обе фирмы (т.е. ). Тогда:
То есть все ок.
г) Квота установлена ниже количества, которое каждая из двух фирм готова была продавать в пункте (а). Следовательно теперь они обе хотят продавать по 5. Всего 10. Подставляем в спрос: . Это и будет ответом.
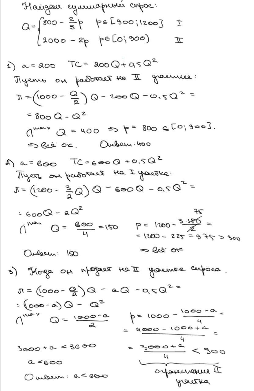
4. Производство кормов для домашних животных
Некий гражданин является владельцем фирмы, которая производит корма для домашних животных. Спрос предъявляют два крупных питомника породистых кошек (несмотря на свой статус, оба питомника воспринимают цену как заданную). Спрос первого имеет вид ; спрос второго — , причем дискриминировать он не может.
Издержки гражданина имеют вид
а) Какую цену назначит гражданин и какое количество пачек корма он продаст, если
б) Какую цену назначит гражданин и какое количество пачек корма он продаст, если
в) При каких значениях оба питомника купят ненулевое количество упаковок?
