Рефреш
Мы повторяем пройденный материал, ниже выложены Рефреш задачки!
Что порешать?
1. Павел выращивает пшеничку y и морковку x.
Первая грядка:
Вторая грядка (постоянные альтернативные издержки):
максимум 12 x или 9 y,
то есть
(a) Постройте суммарную КПВ.
(b) Цены: . Найдите максимальный доход.
(c) Появляется третья грядка: . Какую максимальную цену готов заплатить дед Павел за неё?
Решение

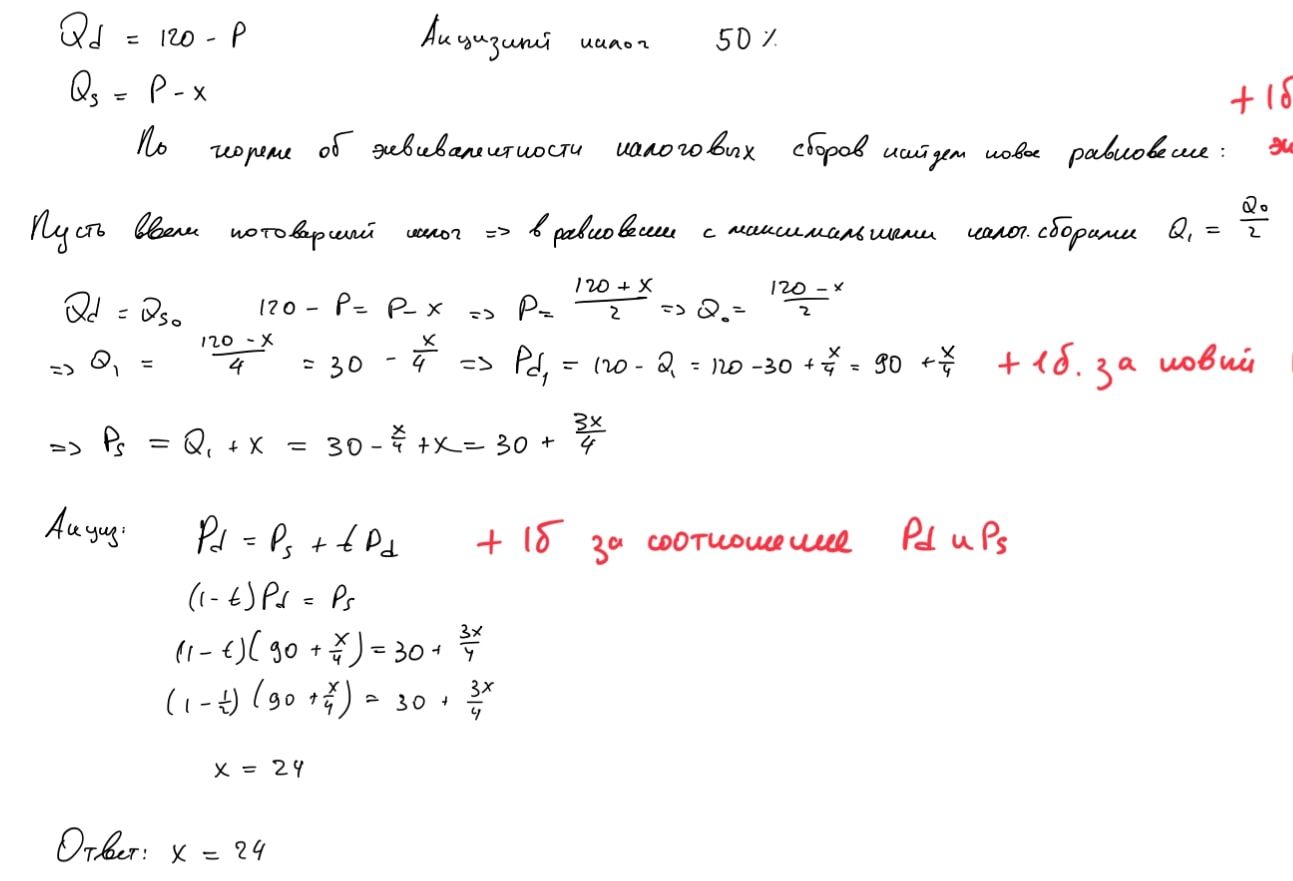
2. Адвалорный налог
Спрос:
Предложение:
Введён адвалорный налог 50% для максимизации налоговых сборов. Найдите X.
Решение

3. Совершенная конкуренция и отрасль
Издержки фирмы:
Отраслевой спрос и предложение:
Найдите X, выпуск фирмы, прибыль и число фирм.
Решение
Предложение фирмы:
Отраслевое предложение n фирм:
Сравнение коэффициентов даёт:
Равновесная цена:
Выпуск фирмы:
Прибыль:
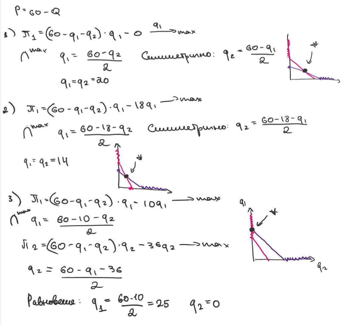
4. Олигополия (Курно)
Цена:
Решение
