Рефреш
Мы повторяем пройденный материал, ниже выложены Рефреш задачки!
Что порешать?
- Найдите минимумы, максимумы и точки перегиба:
а)
Сразу отмечу, что есть несколько способов определить, чем является точка. Здесь в каждом пункте будет приведен только один из возможных вариантов обоснования.
Через участки возрастания/убывания функции. Посмотрим, на каких участках функция возрастает:
То есть функция возрастает везде, кроме нуля. Значит, 0 — это точка перегиба.
б)
Возрастание:
То есть до 2 функция убывает, а потом возрастает. Тогда 2 — минимум. Он попадает на отрезок, данный в условии, а значит это наш истинный минимум. Значение в этой точке равно -19.
в)
Больше нуля, максимумов и минимумов нет, значит считаем на ограничениях:
— значит минимум на этом отрезке
— значит максимум на этом отрезке
Функция не имеет точки перегиба в
Точка перегиба:
г)
Обратим внимание, что после разложения на множители числителя, мы получили линейную функцию, которая возрастает, а значит ее минимум будет на меньшем значении данного отрезка, а максимум — на большем:
2. All in
В одной далекой стране есть команда, которая привыкла всегда работать вместе. По отдельности они могут совсем немного: КПВ Вильсона задано как , а КПВ Маши -
а) Найдите суммарное КПВ Маши и Вильсона (и задайте его аналитически).
б) Маша с Вильсоном очень продуктивные вдвоем, но если добавить к ним Марию, то их вообще будет не остановить. Найдите общее КПВ команды теперь, если КПВ Марии -
а) Чтобы складывать КПВ, нам необходимо найти, у кого самые маленькие альтернативные издержки, у нас это Маша, значит начинаем строить КПВ с нее, однако мы начнем строить ее с точки , то есть . КПВ Маши будет идти до, а дальше КПВ Вильсона до , то есть Вильсон делает 30х максимально. Получим:
б) Заметим, что у Марии АИ еще меньше, а значит она будет идти первая. Суммарно мы получим, что КПВ начинается из точки: . КПВ Марии будет идти до , дальше КПВ Маши до, а дальше КПВ Вильсона до . Получим:
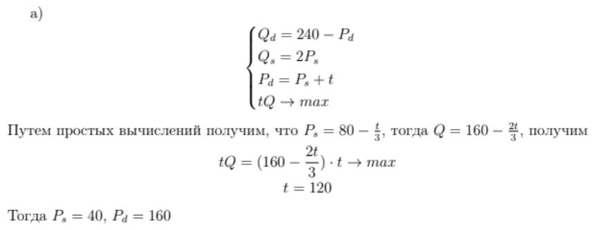
3. Альфа
Предложение и спрос в стране Альфа задаются формулами и
а) Какая ставка потоварного налога максимизирует налоговые сборы страны Альфа?
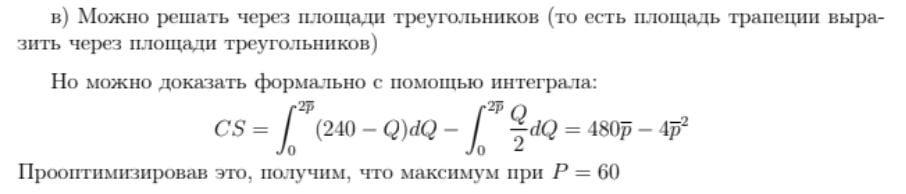
б) Какой потолок цены максимизирует излишек потребителя?
а) Какая ставка потоварного налога максимизирует налоговые сборы страны Альфа?

б) Какой потолок цены максимизирует излишек потребителя?

4. Некий экономист Викентий хочет проанализировать реакцию потребителей на изменение цены на пончики с шоколадной начинкой. Про спрос на пончики с шоколадом известно крайне мало. Известно лишь, что спросу в осях принадлежат две точки: .
а) Найдите точечную эластичность спроса по цене в точке А.
б) Найдите точечную эластичность спроса по цене в точке В.
в) Найдите дуговую эластичность.
г) Почему дуговая эластичность более точно описывает реакцию потребителей, чем точечная, если нам неизвестна функция спроса?
а) Найдите точечную эластичность спроса по цене в точке А:
б) Найдите точечную эластичность спроса по цене в точке В:
в) Найдите дуговую эластичность:
г) Почему дуговая эластичность более точно описывает реакцию потребителей, чем точечная, если нам неизвестна функция спроса?
Дуговая эластичность работает на больших изменениях цены (более 5%), когда неизвестна функция спроса, она дает о ней более общее представление.