Олигополия
Олигополия — рыночная структура, при которой на рынке действует небольшое число фирм, и решения каждой из них существенно влияют на остальных. Ключевая особенность олигополии — стратегическое взаимодействие: фирмы учитывают реакцию конкурентов при выборе объёма выпуска или цены. Наиболее распространённые модели олигополии — модель Курно (одновременный выбор выпуска) и модель Штакельберга (последовательный выбор).
Что почитать?
1. Учебник по олимпиадной экономике (с. 113–124).
2. Лекция.
3. Лекция.
4. Задачник по экономике (с. 118-125).
Что порешать?
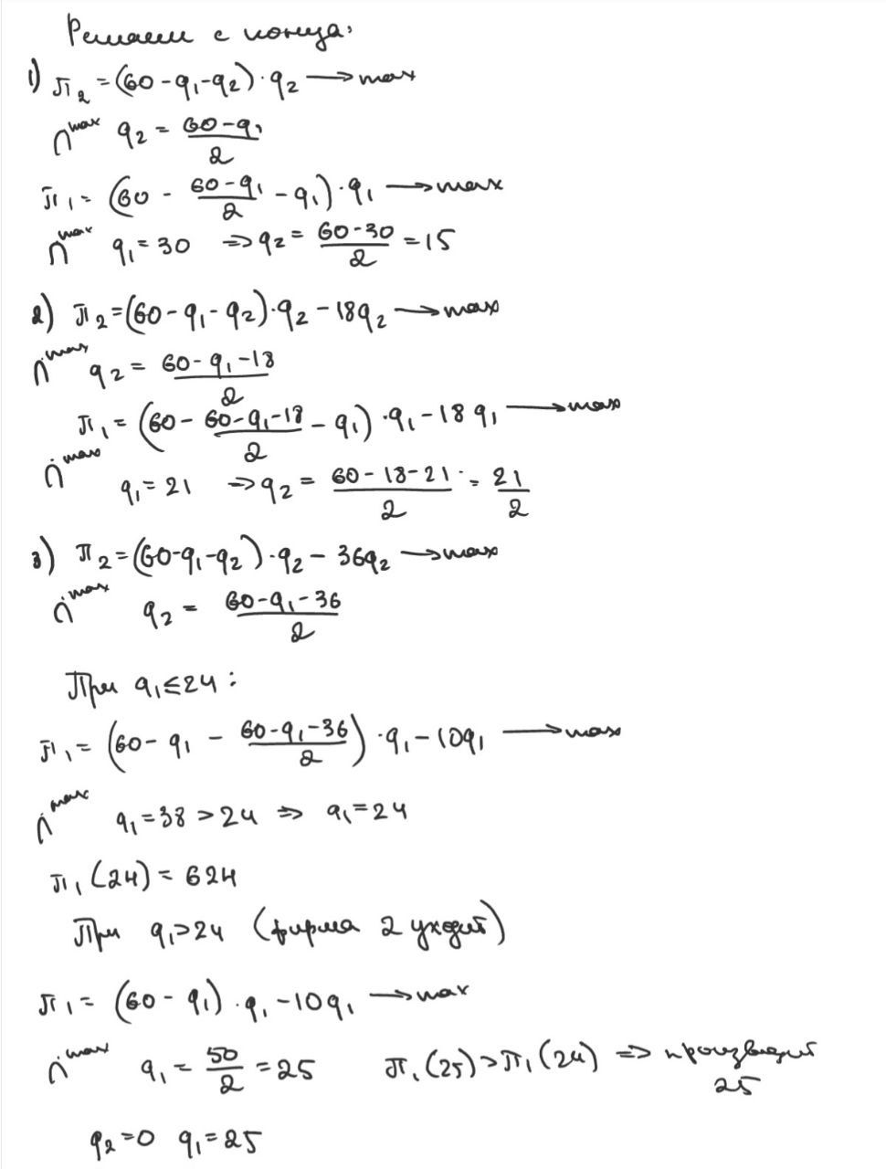
1. Два ответственных (модель Курно)
Два ответственных одновременно и независимо выбирают количество сюжетов .
Цена за сюжет определяется формулой:
где
Каждый максимизирует свою индивидуальную прибыль.

2. Последовательный выбор (модель Штакельберга)
Теперь первый ответственный выбирает объём первым, второй — наблюдая за его выбором.
