Рынок труда
Рынок труда описывает взаимодействие фирм, предъявляющих спрос на труд, и работников, предлагающих свой труд. Спрос на труд является производным и определяется предельной выручкой продукта труда. Поведение фирмы на рынке труда зависит как от структуры рынка труда (конкуренция, монопсония), так и от структуры рынка готовой продукции (конкуренция или монополия). Анализ рынка труда позволяет понять формирование заработной платы и занятости.
Что почитать?
1. Лекция
2. Лекция
3. Задачник по экономике (с. 15-16).
Что порешать?
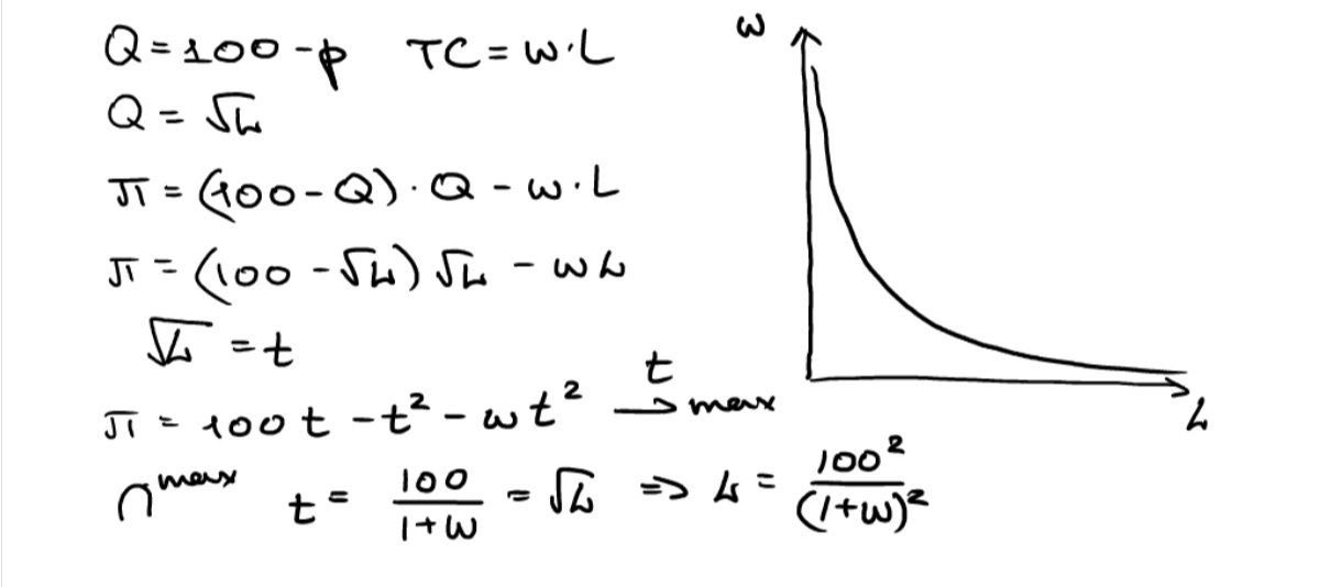
1. Спрос на труд монополиста
Фирма «Вовремя» действует на совершенно конкурентном рынке труда и является монополистом на рынке готовой продукции.
Спрос на продукцию:
Производственная функция:
Фирма несёт только издержки на труд. Цена труда равна w.
Выведите функцию индивидуального спроса на труд

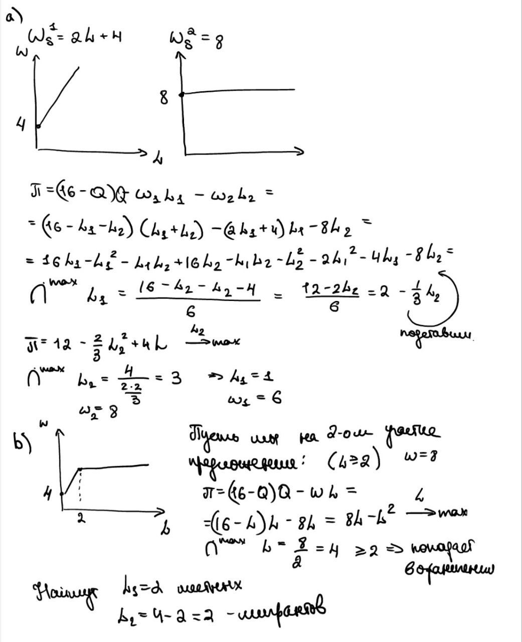
2. Монополист на рынке труда
Монополист может:
нанимать местных работников как монопсонистов, предложение труда которых:
нанимать неограниченное число мигрантов по фиксированной ставке
Спрос на продукцию:
Производственная функция:
