Монополия
Монополия — рыночная структура, при которой на рынке действует одна фирма, обладающая рыночной властью. Монополист сам выбирает цену и объем выпуска, максимизируя прибыль с учетом формы спроса. В отличие от совершенной конкуренции, цена у монополиста, как правило, превышает предельные издержки, что приводит к потере общественного благосостояния. Анализ монополии важен для понимания ценовой политики, налогов и регулирования.
Что почитать?
1. Учебник по олимпиадной экономике (с. 94-117).
2. Лекция
3. Лекция
4. Задачник по экономике (с. 95-99).
Что порешать?
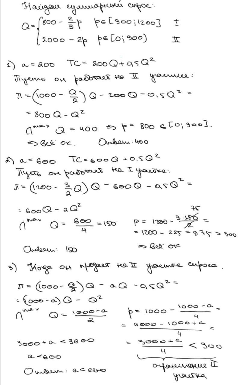
1. Монополист и два питомника
Фирма производит корма для домашних животных. Спрос предъявляют два питомника, каждый из которых воспринимает цену как заданную.
Спрос первого питомника:
Спрос второго питомника:
Монополист не может дискриминировать, то есть устанавливает единую цену.
Издержки фирмы:
(a) Какую цену и количество выберет фирма при a = 200?
(b) Какую цену и количество выберет фирма при a = 600?
(c) При каких значениях a оба питомника покупают ненулевое количество?

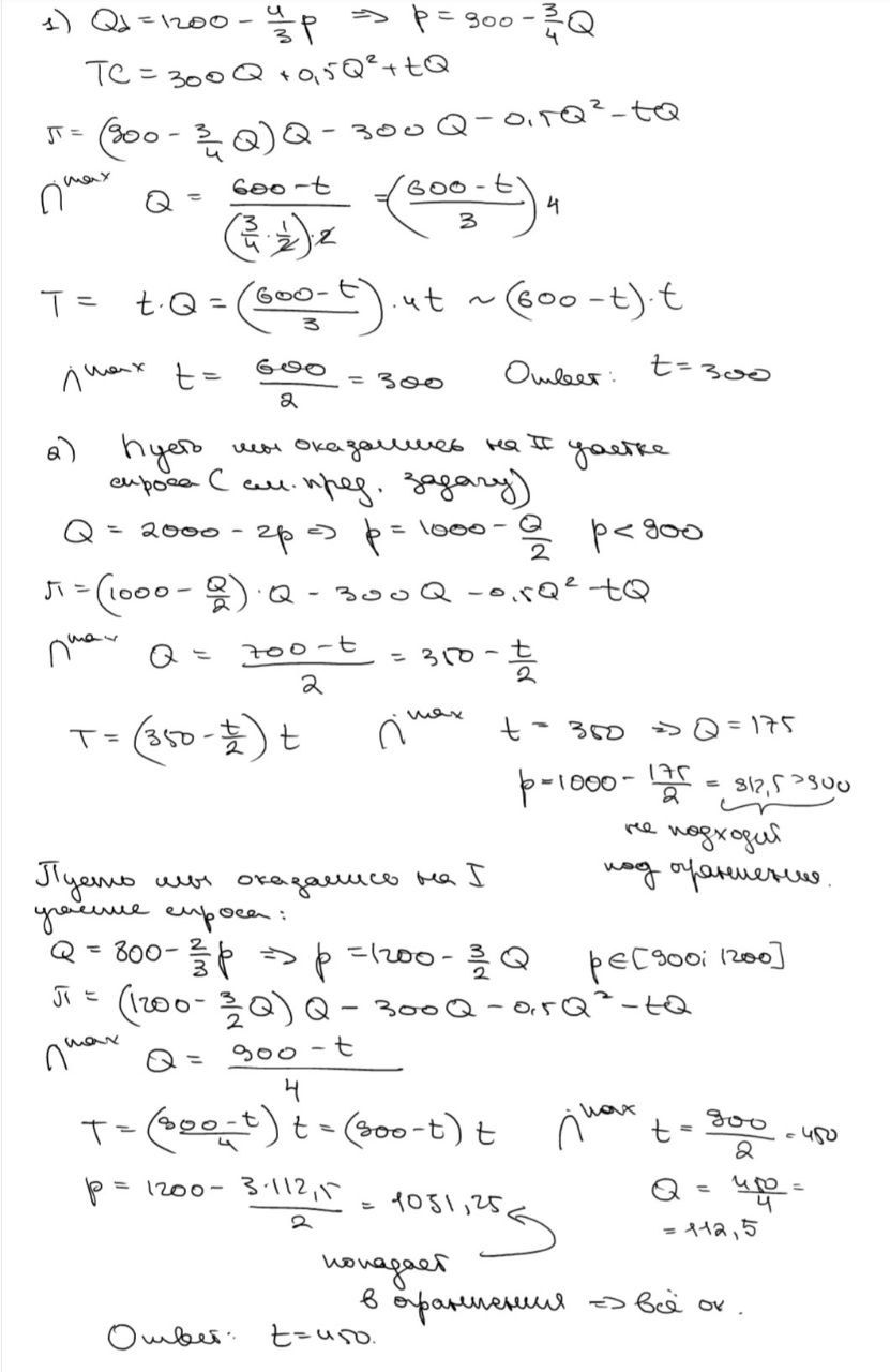
2. Монополист и налог
Теперь . Государство вводит потоварный налог t с целью максимизации налоговых сборов.
(a) Монополист может продавать только второму питомнику.
(b) Монополист может продавать обоим питомникам.
