СК: вывод предложения
В совершенной конкуренции долгосрочное предложение отрасли выводится из поведения отдельных фирм при свободном входе и выходе. В долгосрочном периоде экономическая прибыль равна нулю, цена совпадает с минимумом средних издержек, а количество фирм в отрасли эндогенно определяется спросом. Вывод предложения в СК позволяет связать издержки фирмы с отраслевым выпуском и числом фирм.
Что почитать?
1. Учебник по олимпиадной экономике (с. 71-82).
3. Задачник по экономике (с. 106-109).
Что порешать?
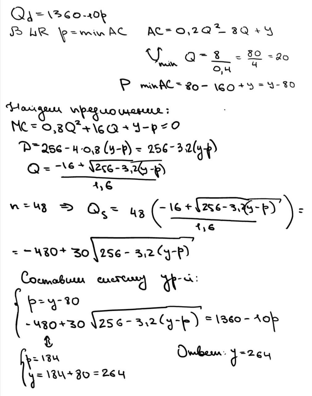
1. Деревянные кораблики
На рынке игрушечных деревянных корабликов спрос задаётся уравнением
В долгосрочном периоде в отрасли работают 48 одинаковых фирм с издержками
Найдите значение параметра Y.

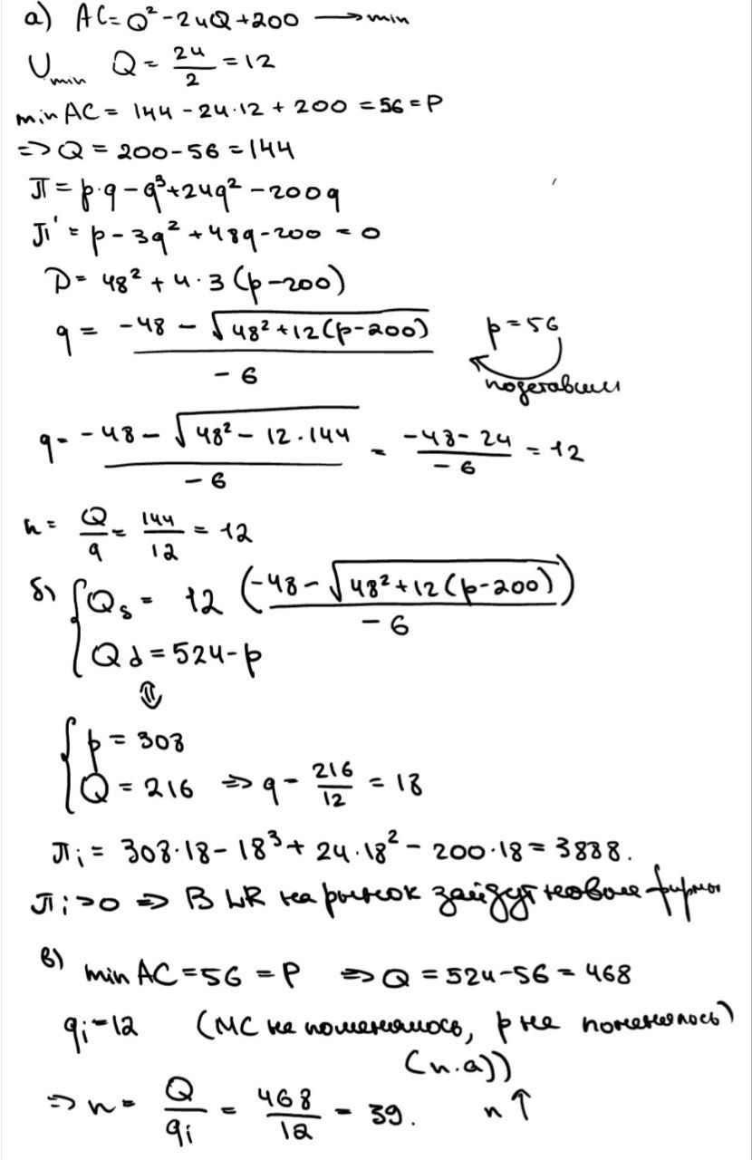
2. Рынок истерического смеха
Спрос на рынке истерического смеха задаётся функцией
Издержки каждой фирмы:
(a) Найдите количество фирм и равновесие в долгосрочном периоде.
(b) Спрос вырос и стал равен . Найдите прибыль каждой фирмы в краткосрочном периоде. Не проводя дополнительных вычислений, определите, станет ли фирм больше или меньше в долгосрочном периоде.
(c) Найдите количество фирм в долгосрочном периоде при новом спросе.
